The most massive galaxies in the Universe are important
probes of galaxy formation as they provide insight into the physical processes
which govern the evolution of galaxies at the extreme high mass limit. By
studying these most massive systems across cosmic time we can provide rigorous
tests for our understanding of how mass is assembled in the Universe.
It has recently been discovered that massive galaxies at
z>1 have surprisingly smaller sizes than similarly massive galaxies in the
local Universe and in the most extreme cases are up to a factor of 4 times smaller. In
fact, it has been shown that the most compact of these high redshift galaxies
also display the least amount of ongoing star-formation, which raises the
question of how such compact systems at z>1 can grow to reach the sizes of
comparably massive local galaxies if they have very little continued
star-formation. There are several proposed mechanisms which may explain
how these galaxies can grown in size, with very little mass increase from high
redshift to the present day, such as through minor merger events or from AGN
driven gas expulsion, which causes the system to expand. The
exact physics responsible for this required growth remains debated, but it is
clear that the morphologies of these massive galaxies can provide us with
important information about their evolution.
In the local Universe galaxy morphologies can be
classified by the Hubble sequence and they display a well-known
correlation between colour and morphology, with spheroidals being predominantly red in colour due to the fact that they have very little ongoing star-formation and, conversely,
disks being blue, but at higher redshifts the case is more
complicated.
The unparalleled high resolution H-band data from CANDELS has allowed us to conduct a detailed study of ~200 of the most massive galaxies with M>11 (i.e. 100 billion) solar masses at 1<z<3 (when the Universe was 1/2 to 1/6 its current age) in the UDS field, where we were able to decompose the rest-frame optical morphologies of galaxies into their separate bulge and disk components for the first time at these high redshifts for such a large sample size (see the CANDELS paper here). By conducting this decomposition we were able to explicitly explore how the sizes of the different components evolve within this redshift range, and compare this to studies in the local Universe. In doing so we found that the bulge components appear to display a more dramatic evolution in size than the disks. This can be seen in the figure below both from the number of bulges which have sizes significantly smaller than objects in the lower Universe, and in the difference between these sizes, which is more extreme for bulges than disks.
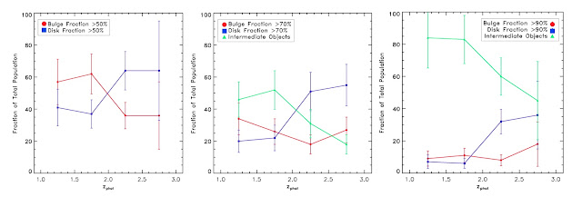
In addition to how massive galaxies evolve in size, decomposing objects into their separate bulges and disks also allows us to explore how the overall morphologies of galaxies evolve with redshift. In the local Universe, the majority of massive galaxies are pure bulge systems, but from this study we found that not only do massive galaxies become increasingly mixed systems with significant bulge and disk components with higher redshift, but that by z~2, they have predominantly disk-dominated morphologies. This suggests that not only is 1<z<3 a crucial era in cosmic time when global star-formation in the Universe peaked, but that is also marks a key phase in morphological evolution, where galaxies undergo a dramatic transformation from disk to eventually bulge-dominated systems.
![]() |
| The redshift evolution of the morphological fractions in our galaxy sample, after binning into redshift bins of width z = 0:5, using three alternative cuts in morphological classification. |
The next step in our work is to extend our analysis to the
CANDELS-COSMOS field to allow greater area coverage, and we are currently
implementing a new technique to extend our decomposition of bulge and disk components to the
other 3 CANDELS bands (F125W, F814W and F606W) in order to provide photometry
for separate components to conduct individual SED
fitting, with the aim of generating separate stellar mass and age estimates for the different components. This will add an extra dimension
to our morphology decompositions and shed new light on the properties of high
redshift massive galaxies.



No comments:
Post a Comment